Juglandis folium
Droge: Juglandis folium / Walnussblätter
Pflanze: Juglans regia / Echte Walnuss
Familie: Juglandaceae / Walnussgewächse
Gruppe: Weitere Naphtochinoid-Drogen
Herkunft: Südwest- und Zentralasien
- 15 bis 30 m hoher Baum, in dichteren Baumbeständen auch bis 30 m hoch
- Wechselständige Blätter, unpaarig gefiedert mit fünf bis neun (meist sieben) Fiederblättchen und einer Länge bis zu 30 cm
- Echte Walnuss ist einhäusig; männliche Blüten sitzen zu vielen in einem Blütenstand, mit der Form eines hängenden Kätzchens; weibliche Blüten sitzen in wenigblütigen Blütenständen
- Die Kerne der Früchte, die ihre Reife durch eine braun und rissig werdende Schale anzeigen, sind als Walnüsse bekannt
Allgemein: Spröde, unbehaarte Blattfbruchstücke; matritzenartiges, rautenförmiges Muster der Blattnerven; feine Haarbüschel in den Nervenwinkeln der Unterseite; adstringierender, leicht bitterer Geschmack.
Mikroskopie: Spaltöffnungen mit vier Nebenzellen (ausschließlich in der unteren Epidermis lokalisiert); einzellige, verdickte Haare, einzeln und in Büscheln auftretend. Drüsenhaare auf beiden Blattseiten; im Schwammparenchym farblose Zellen mit Oxalatdrusen.
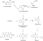
- Naphthochinone Juglon, Hydrojuglon und deren O-Glykoside (v. a. in frischen Blättern; in der Droge lediglich in Spuren)
- 9-10% Gerbstoffe, v. a. Ellagitannine (Grundkörper: Ellagsäure)
- Flavonoide
- ätherisches Öl (wenig)
Indikation: Äußerlich bei leichten Entzündungen oder Hyperhidrosis (Komm. E+); innerliche Annwendung (volksmedizinisch): Darmkatarrh, Tonsillitis, Wurmerkrankungen
Wirkmechanismus: Adstringierend, antiseptisch
Nebenwirkungen: Es gibt Berichte über mutagene Effekte nach innerlicher Anwendung über längere Zeiträume (Zungenkarzinome)
- Juglon ist instabil und polymerisiert leicht zu braunschwarzen Produkten
- Juglon als Keimungsinhibitor für viele Pflanzen → unter Walnussbäumen wächst fast nichts (= Allelopathie)
- Imupret®